| これはph7の備忘録 覚書 |
21世紀になってから作るPHONOイコライザー・アンプ 12AX7 Version2
http://www.op316.com/tubes/vinyl/phonoeq-v2.htm |


12AX7のピン足接続画像はGeneral Electric Co, Ltdから引用
6DJ8-lineAMPの前段用にそして 唯一のMM型カートリッジMG-3675 中電 にマッチした
eqアンプを作りたくなった これがないと 6DJ8-lineAMPも宝の何とやら
|
|
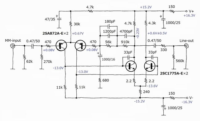
マルツエレック株式会社【技術情報】真空管式フォノイコライザーアンプの製作 実験編のページの下図の回路を組んでみようと基板oパーツを並べたところで これなら金田式が良いような気が・・・
それなりのパーツ数になる シンプルならもっとシンプルのものは無いか 少し虫が良さそうな
|
|
|
|
|
|
|
やはり最低でもこの回路か
|
あるいはこちらがおすすめか
2つの回路は http://www.op316.com/tubes/vinyl/phonoeq-v2.htm から引用
 |
12AX7真空管イコライザー 2021.10.31
上の回路となった ラグ板は苦手 というより真空管用のパーツは手持ちが少ないから金田式による基板と7本より線とした
パーツ在庫を見ると高圧のケミコンが無い 10pFの高圧ディップ・マイカ・コンデンサも無い イコライザー素子も在庫が怪しい 余分なものもついでに買うから1万円はすぐに飛んでいく
球は在庫があった 新品SOVTEKが5本(ヒーター抵抗20Ω程度) メーカー不明の中古が1本(ヒーター抵抗10Ω程度) 中古は使えないだろう
|

パーツ待ちの基板

使用するソケット

1Ωを介しての電流は12AX7 3本で0.498A
電圧は12.04V(1Ω分の降下後電圧)
12.5VのRegはLM1084IT-ADJ このREG用ICは入出力電圧差が1.5Vあれば良いから電源トランスはAC12V端子のもので何とか行けそうだ 遅延回路も付けたので電圧は6秒~くらいで所定の電圧になる
NJM2389Fには敵わないがNJM2389Fは遅延回路を付加できないので不便である
|
 LM1084IT-ADJ
デップマイカ 2021.11.2
千石電商オンラインショップから求める
位相補正の10pF500Vのディプマイカが球の次に少し高いかな 表記は「1000」となっているので確認のためテスターの計測機能で測るも20とか適当な数値を表示する 仕方なくアマチュア無線時代に作ったCメータで当たると10pFを表示した(当てにしていなかっただけに恐縮) まだまだ使える機器だが壊れたときのメンテにと掲載誌を探すが見つからない 確かハムジャーナル誌だ
昔は下に下げてonという考えで製作していた名残が中央下の電源SWから見て取れる
なおデップマイカは方向性をチェックして取り付けた
|
フイルムコンデンサーの方向性
これは聴いてみて良いと思う方向で良いと思うがその指針として
2021.11.12追記メモ magaraさんからの問い合わせによる
双信電機 ディップマイカコンデンサ DC500V 10pF
ミリバルを使い方向性を調べた 向かって左側を信号側にする
ただ手持ちは2つしかなくて2つとも左側だったこと
(訂正 画面の通り 向かって右側です △を付したにも関わらず右と左を取り違えるとは? 容赦 2021.11.15)
なお双信電機のSEコンデンサーも左側ということで金田アンプでは統一している SEとメーカーが同じで用途もほぼ似ているとすれば納得できるのでないか しかし絶対的なものではないと思う
http://www.soundden.com/jyumyo.html
の最後の方に以下の記述があるので参照されたい
「フイルムコンデンサー及びコイルの巻き終わり判別方法」
*注意 現代の部品は、巻き終わりのマーキングが入っている物であっても、それを管理されていない可能性が高いので信用してはならない!
1)高感度なACボルトメーター(フルスケール0.3mV程度)を用意する。
2)各パーツのリードの両端にACボルトメーターを繋ぎパーツを指で挟むと、手による誘導雑音のレベルを表示する。
3)両端の接続を反対にすると雑音レベルが変動する事を確認する。
4)2と3を比べてレベルの高い方のHOT側が巻き終わりであるからマーキングする。

|


|
EQ素子
半端な数値となり手持ちがないし購入するにも案外と見つからない数値のフイルムコンデンサ
今の処2つで組むには適当な数値のものがなくて3つでなんとかなりそうだ CよりRで調整するのが楽かと思うが要検討だ
650pFの構成
330
220
100としてニッセイ電機ポリプロピレンフィルムAPSで揃えた
そのうちスチロールコンデンサにしたいが

回路右の2200pFの高耐圧のものは見つかるだろうか?と思って通販hpを見ていたら2200PF 500Vが100円程度である 560+91pF/50Vという組み合わせも100円弱であるではないか
※2200pF・・・過渡電圧=290V、動作時電圧=120V(これが入手で苦労します。秋葉原の三栄電波で入手できます」と本家のhpに触れられている
EQ素子使用パーツ
2200pF 〃
650pF分 ニッセイ電機ポリプロピレンフィルムAPS
120KΩKOA塗装絶縁形金属皮膜MFシリーズ0.5W
2.7MΩ 〃
その他
360KΩ 〃
※抵抗はニッコームでも良かったのだが他の抵抗も使ってみたかったので上のものにしたが込み入っているところは薄くて0.5Wのニッコームが良い
出力カップリングコンデンサ使用パーツ
0.47μFパナソニックメタライズドポリエステルフィルムECQEシリーズ
ここの値について1.5μFにしたが訳あって047にしたとペルケ氏の記事のどこかで読んだがそこには理由が記されてなかった
以下にあったのでメモする
出力側のコンデンサは1.5μFではなく、0.22~0.68μFくらいの容量の方が良いと思います。理由は2つあって、1つめは、トーンアームは数Hzあたりに共振周波数を持つため、10Hz以下の帯域まで周波数特性を伸ばすのは意味がないばかりかマイナス面の方が大きいからです。2つめは、電源ONした時、B電源電圧が一気に上昇しますが、この上昇が過渡電圧となって2段目プレート側にも現れます。出力側コンデンサ容量が大きすぎると、この過渡電圧が出力側に現れて後続のアンプの初段を破壊してしまうことがあるからです。
http://www.op316.com/tubes/vinyl/phonoeq-v1.htm 21世紀になってから作るPHONOイコライザー・アンプ
12AX7 Version1 より
カップリングコンデンサ
0.15μF250Vのフィルムコンデンサーもなかなか見つからない 三栄電波に頼んだ しかし630Vのものしか無いとの電話が入る 少し大きくなるが基板裏に取り付ければ良いだろう 千石、三栄さんとも対応が早いのが助かる 細々としたパーツの見繕いに手間もかかり大変だろうが対応も良い 地方の製作者達のため末永くお願いします
電源トランス
Rコアは無いから手持ちのEIトランスだ 在庫を当たるとヒーター用は12V0.5Aの少し心もとないがテストでは何とかなるだろう 高圧の100V用が無い 0.1Aもあれば良いのでアマゾンを覗くと1.5kくらいであったので頼んだ 今はアマゾンもパーツまで売っているから大変助かる 会費を払うと大抵のものは送料無料というのも良い

下のトランスは今回購入パス 手持ちの12V0.5Aを使ってみる
|
パーツを乗せるとこうなった 上の小さな基板は高圧電源
黄色の0.15μFは基板裏に 2021.11.3

|
| 基板裏 リード足の揃えや切断半田を確実にする半田の追加等は未了 なおリード足は曲げないでストレートのままとしている 何かと取替等が発生する場合スムーズに行うため そのため半田部分は綺麗な半円形にはならない 富士山のようになる (金田アンプ違反だがこのアンプはDCアンプではないので容赦) |

※裏はこのとおり7本撚り線により配線 ヒーターは19本撚り線
パターンで説明の通りV3bのプレートへの高圧供給ポイントのジャンパー修正
全体を見渡す 後は結線だ ヒーターバイアスを忘れないように!

|
プリントパターン 2021.11.04
ラグ板配線は回路をイメージすることが私には難しいしメンテナンスを考えると金田アンプのこの方法が似合いだから
この基板による方法が慣れていて回路図もイメージできる
この本体の基板は裏側から見た配線面を現している |

※上のパターンの実証実験は未了
(2021.11.06 このパターンに誤りなく稼働確認 ただし一部挙動不審な点あり)
V3bのプレートへの高圧供給ポイントの誤り修正で完動
高圧とヒーターのRegパターン 使用ダイオード
Cree/Wolfspeed C3D02060A
C3D02060A-ND
ダイオードタイプ シリコンカーバイドショットキー
電圧 - DC逆方向(Vr)(最大) 600V
電流 - 平均整流(Io) 5A(DC)
電圧 - If印加時の順方向(Vf)(最大) 1.7V @ 2A
2020.4購入時 \112
2021.11現在 \192 デジキーhpから |
下の電源部は部品面から現している

上の図 560Ωの位置が誤り下図にて訂正


※上の基板と一緒に映っているパターンはダイオードの接続に誤り有り

LM1084の詳細にリンク
完成音出し 2021.11.06
左ラインアンプと木箱に配置した本eqAMPを繋ぎ古いパワーアンプとコンポのスピーカーで音出しをする
特に調整もない 意外と簡単にノントラブルで音出しまで漕ぎ着けた
エージングしていない中で音は繊細に聴こえた あとは金田アンプのMMカートリッジ版との比較をしたい
ケースはラインアンプと同様のケースに入れたい
|
|
|


使用スピーカーは
①sonyのコンポのspと思うもの 結構良い音を出すと思ってもパイオニアのA-30でSPを瞬時に切り替えて聴くとNGだ
②フォーカルChorus705 ①との比較ではかなり繊細な音で①の出せない音が出ている 仕方ないか
ついでにA-30のフォノと12AX7eqAMPの比較ではA-30のフォノはNGだ 聴く気にならない どこかのhpでもA-30のフォノはオマケ?というような表現をしていたような A-50も所有しているが似ているかも しかしA-70のフォノは良いような評価 (※写真のアンプはビクター A-D77)
金田アンプのMMカートリッジ版はNo.159
今回の短い試聴では12AX7eqAMPの方に好みの軍配が挙がる
金田アンプは重い感じがする 天気で言えば曇り しかしいぶし銀の魅力がある(表現が適切でなく容赦)
反して12AX7eqAMPの方はクリアー 晴天の青空
低域は金田アンプの方がドシッとしていてドスが効いて音に重みを感じる
12AX7eqAMPの低域はスカッとした低音だ
なお金田アンプの使用パーツにも影響があるだろう
カップリングコンデンサは0.12μFスチロールコンデンサ
EQ素子もスチロールコンデンサ 等
しかし12AX7eqAMPの方は
パーツに拘らないという点では作りやすく好感がもてる
真空管も拘らない
今回のアンプて1つ拘りがあるとすれば10pFのデップマイカが指定されている(位相補正用)
電源トランスは汎用のEIトランスを使用したがハムはほぼ感じない
非常に廉価に作れるお勧めのeqAMPと言えるだろう 作ってみて人気のほどが理解できた
まだまだエージングも進んでいないので正確な判断は出来ないが今回始めてeqAMPの比較をしたのだが残るLXV-OT10との比較だ |
| |
|
|
電圧計測時に高圧電圧が変動して不便
LM350で高圧部を組み直そう 2021.11.07

LM350データーシートから
フローティング方式により入出力の 電圧差に対してのみ反応するため、入出力電圧差の規定(絶対最大定 格 40V)さえ越えなければ、すなわち、出力を短絡させない限り、数
100V の入力電圧にも動作が可能です。
ということで本当に頼りになるレギュレーターICだ しかも今は廉価
|
左上がLM350で定電圧を組んだ 右下は本家
LM350の方がハムは更に少ない なにしろ電圧変動がない

|
AC的に1.3kΩについて 2021.11.09
本家の文中
<アンプ部>
後述するRIAA素子との関係でカソード抵抗値は1.3kΩあたりが良いので、DC抵抗は1.6kΩとし、220μF+6.8kΩを抱かせてAC的に1.3kΩとなるようにしてあります。
これについて以下に計算 (計算の齟齬は容赦)

①がplan2の例 ②が本機 plan2とするには4.13KΩという半端な抵抗となるが4.2KΩなら見つかる

|
|
|
ケースに入れた 2021.11.15
トランスの悪影響がなければ良いが バラックのときよりもトランスが近接しているので少しハムが出たかも トランスの配置は磁束の向きを合わせないようにしているのだが・・・効果は?
上が今回の12AX7eqAMP 下は6DJ8lineAMP |

両端の12AX7にはシールドを被せないとノイズの素だが
今ところなんともない
|